产品学习笔记二
约 7726 字大约 26 分钟
产品经理工作输出
产品经理工作输出主要包括3 种需求文档,对产品的理解从宏观到微观。
BRD 商业需求文档
主要涉及行业相关信息,依赖行业调研报告等 主要结构
- 项目背景 如:公司现状、影响力、品牌;用户群体
- 商业价值 如:扩大市场规模
- 产品规划 如:解决的核心需求,商业模式、团队架构、未来方向
- 盈利模式
- 收益和成本 如:会员、佣金、商品
- 风险和对策 如:政策、经济、市场、行业、公司、技术、资金等风险及对应的规避、接受、降低、分担、转移等措施
MRD 市场需求文档
主要结构
- 基本信息 如:公司名称、产品名称、文档说明、市场说明、用户说明、产品说明
- 市场说明 如:市场现状(规模、发展趋势、存在的问题等的数据[1])
- 用户说明 如:所在城市、年龄、学历、收入、出行时间、决策有因素等
- 产品说明 如:产品定位、核心目标、产品结构图、业务流程图
PRD 产品需求文档(重点)
主要作用: 概念-->图纸 主要结构
- 文档说明
- 流程图
- 结构图
- 原型及需求说明
- 其他
需求来源
- 用户访谈
- 问卷调查
- 竞品分析
- 用户反馈
- 头脑风暴
- 观察(经验)
- 文献分析
- 数据分析
竞品分析
竞品分类维度:
- 产品定位:面向的行业领域、市场
- 目标用户:目标用户及用户需求
- 产品功能:产品的功能一直
竞品主要分类
- 直接竞品:
产品定位、目标用户、功能高度一致
- 间接竞品
三个因素,两个都一样
- 潜在竞品
三个因素只有一个相似
竞品分析维度:
- 产品定位
- 目标用户
- 运维推广
- 产品功能
- 产品界面
竞品分析方法
SWOT分析法
两个维度,四个方面:内部、外部,优势、劣势、机会、威胁
SWOT具体内容
Strengths优势(内部因素):
- 目前的 核心优势是
- 优势和对手相比的差距
- 如何有效利用优势
- 核心优势能保持多久
- 竞争对手做出反应需要多久
Weaknesses劣势(内部因素):
- 受哪些问题影响最大
- 需要调整那些劣势
- 如何调整,包括投入的时间、成本等
Opportunities机会(外部因素):
- 那些是真正的机会
- 这些机会将持续多久
- 再利用这些机会上,我们的优势是什么
Threat威胁(外部因素):
- 哪些威胁是致命的
- 这样的威胁对竞争对手意味着什么,对方如何做
- 如何规避这些致命威胁
- 如果规避不了怎么办
SWOT分析法的内部和外部因素
内部QCDMS方法:
- Quality品质:安全性、稳定性、美观性、易用性、耐久性
- Cost成本:生产、销售、维护、服务研发等成本
- Delivery交货期:产量、效率、交付能力、研发能力、生产技术等
- Morale士气:人才、硬件设备、物资供应、管理方法、品控体系等
- Safely保障:销售保障、服务保障等
外部PEST方法:
- Political政治:国家政策、贸易环境
- Economic经济:国民收入、宏观经济、当前及未来环境
- Social社会:人口数量、流动人口、价值观、文化传统、宗教信仰等
- Technology技术:技术实力、专利保护、研发周期、技术商品化
案例:今日头条SWOT分析
Strengths:
- 数据挖掘、推荐引擎、智能算法
- 头条号吸引了大批量内容创作者,强化内容能力
- 可以使用OAuth登录(微信、微博、qq等),获取用户关系链,便于用户画像
- 用户粘性极高
Weaknesses:
- 用户变现形式单一,尚未完成完整的产品生态。(以广告为主要变现形式,面临广告投放和用户体验的平衡问题)
- 传统新闻媒体形成的权威性行业壁垒,无法保证头条创作者内容上的优势
Opportunities:
- 时间碎片化,个性化市场庞大
- 先发优势,积累了大量的用户数据
- 自媒体创业的时代趋势,精准的用户推荐,减少了创作者寻找用户的成本
Threats
- BAT及传统门户网站入场
- 腾讯微信公众号,视频号
- 网易新闻等
用户体验五要素
五要素包括:
战略层:产品目标和用户需求(立项)
需要做什么样的产品(产品定位),目标用户是谁,主要需求
范围:产品的主要功能(功能清单)
针对用户需求设计相应的功能
结构层:产品的整体结构设计(结构图和流程图)
具体应该有哪些页面承载这些功能,有清晰的结构和使用流程
框架层:界面具体设计样式(原型)
每一个页面长什么样,界面布局、导航等的设计
表现层:页面的视觉呈现(UI设计)
五要素应用在:竞品分析、从0开始设计产品两个场景
竞品分析报告
报告内容:
- 分析目的
- 竞品选择
- 竞品分析
- 总结
需求池-需求的管理工具
需求池(用来收集和管理各方需求的集合)样例
| 序号 | 提交时间 | 提交人 | 产品模块 | 需求描述 | 优先级 | 需求来源 | 需求类型[2] | 需求状态 | 处理版本 | 备注 |
|---|---|---|---|---|---|---|---|---|---|---|
| 1 | 2022-06-01 | 运营 | 注册登录 | 短信登录成本过高,增加密码登录方式 | p2 | 财务 | 新增 | 待讨论 | 待定 | |
| 2 | 2022-06-01 | 运营 | 点赞 | 点赞按钮太小,考虑放大 | p3 | 运营 | 优化 | 被驳回 | - | 需求不合理 |
| 3 | 2022-06-01 | 运营 | 通用 | 点击清除缓存后闪退 | p1 | 用户 | BUG | 开发中 | V1.0.13.1 |
注:产品经理获得的所有需求都应该记录到需求池,但是不一定要实现,后续还有需求分析的过程。
需求池管理原则
- 收到需求要记录
- 需求过多时,要分批分优先级
- 每条需求实时维护,包括:如何处理?现在处理到什么阶段及状态
- 需求回溯。未处理的需求,回溯需求提交原因;已处理的需求,回溯处理过程
- 有进有出,宽进严出。新需求录入、完成的需求转出;
有进有出、宽进严出、时刻维护、需求回溯
需求分析
需求分析: 业务需求--(基于场景对需求进行分析)-->产品需求
场景=时间+地点+人物+环境+事件
案例:区块链咨询产品案例
背景: 这是一个区块链咨询产品,平台内容以图文和音视频为主
现状: 1. 用户增长速度不快;2.用户对内容不感兴趣
业务需求: 需要提高app的用户数量和用户活跃度
解决方案
- 通过竞品分析,发现竞品存在偷菜、挖矿小游戏
- 引入海盗船游戏,海盗船派出后定时返回,需要手动收取金币,可以通过拉新扩大海盗船规模,扩大规模可增加返回后获得的金币
需求处理思路
- 接到需求后,首先考虑产生需求的原因,即,提这个需求需要解决什么问题
- 考虑这个需求是否真的能解决这个问题,是否有更好的解决方案
表面需求−−>本质需求−−>产品需求
伪需求: 没有解决真实目的的产品解决方案
每一个伪需求背后都是一个没有满足的痛点,伪需求通常为以下三种情况:
- 用户没说明白
- 产品没听明白
- 一个不靠谱的解决方案
需求筛选条件
- 是否满足用户的真实需求
- 技术能否实现
- 开发成本是否可控
KANO模型--用于划分需求优先级
KANO模型是东京理工大学教授野纪昭发明的对用户需求分类和优先级排序的工具,以分析用户需求对用户满意的影响为基础,体现了产品功能完善程度和用户满意度之间的非线性关系
KANO模型的五类需求
- 兴奋型
- 期望型
- 无差别型
- 必要型
- 反向型
五类需求说明

五类需求开发优先级
必要型>期望型>兴奋型>无差异型>反向型
四象限法则--用于划分优先级
四象限法则是时间管理理论的重要观念,将需求根据重要程度和紧急程度分类,把要做的事情按照紧急、不紧急、重要、不重要的排列组合分成四个象限

紧急: 需求是否会影响产品的核心功能,是否会影响产品的正常使用
重要: 是否会让产品发展的更好
重要且紧急
- 线上bug,影响用户使用需要紧急修改
- 产品内容出现问题
重要不紧急
- 对产品本身能显著优化
- 增加产品本身两点
紧急不重要
- 用户使用过程中的小问题,如产品性能相关的问题,对用户当前比较紧急,单对产品而言不重要
不紧急不重要
- 不影响用户的使用,也不需要立即修复
马斯洛需求层次理论

- 产品需求都是为了迎合用户的不同层次的需求
- 越是低层次的需求,需要用户投入时间、精力、金钱就越少
五种层次需求产品举例:
生理需求: 饿了么、陌陌
安全需求: BOSS直聘、智联招聘
社交需求: QQ、微信
尊重需求: 王者、青铜、蚂蚁森林
自我实现需求: 水滴筹
人性七宗罪
傲慢、妒忌、暴怒、懒惰、贪婪、暴食 、淫欲
傲慢: 英雄联盟、知乎
妒忌: 知乎、买家秀
暴怒: “狼人杀”、“三国杀”等
懒惰: 饿了么、美团
贪婪: 淘宝、p2p
暴食: 大众点评
淫欲: 快播、默默、探探、Soul
功能清单-需求分析的结果
功能清单是具体的可执行的功能需求的集合。是需求分析的结果,用来指导后续功能设计。
功能清单举例:
功能清单是一个表格, 样例如下(实际工作中,根据需要增加客户端、序号、备注等字段):
| 模块 | 子模块 | 功能点 | 描述 | 优先级 |
|---|---|---|---|---|
| 首页 | 导航栏 | 搜索 | 点击进入搜索页面 | 高 |
| 发布入口 | 点击进入发布页面 | 高 | ||
| 分类 | 分类可以点击切换\滑动展示 | 中 | ||
| 内容列表 | 标题展示 | 展示文章标题,最多2行 | 高 | |
| 登录 | 验证码登录 | 手机号输入 | 输入手机号,发送验证码 | 中 |
| ... | ... | ... | ... | ... |
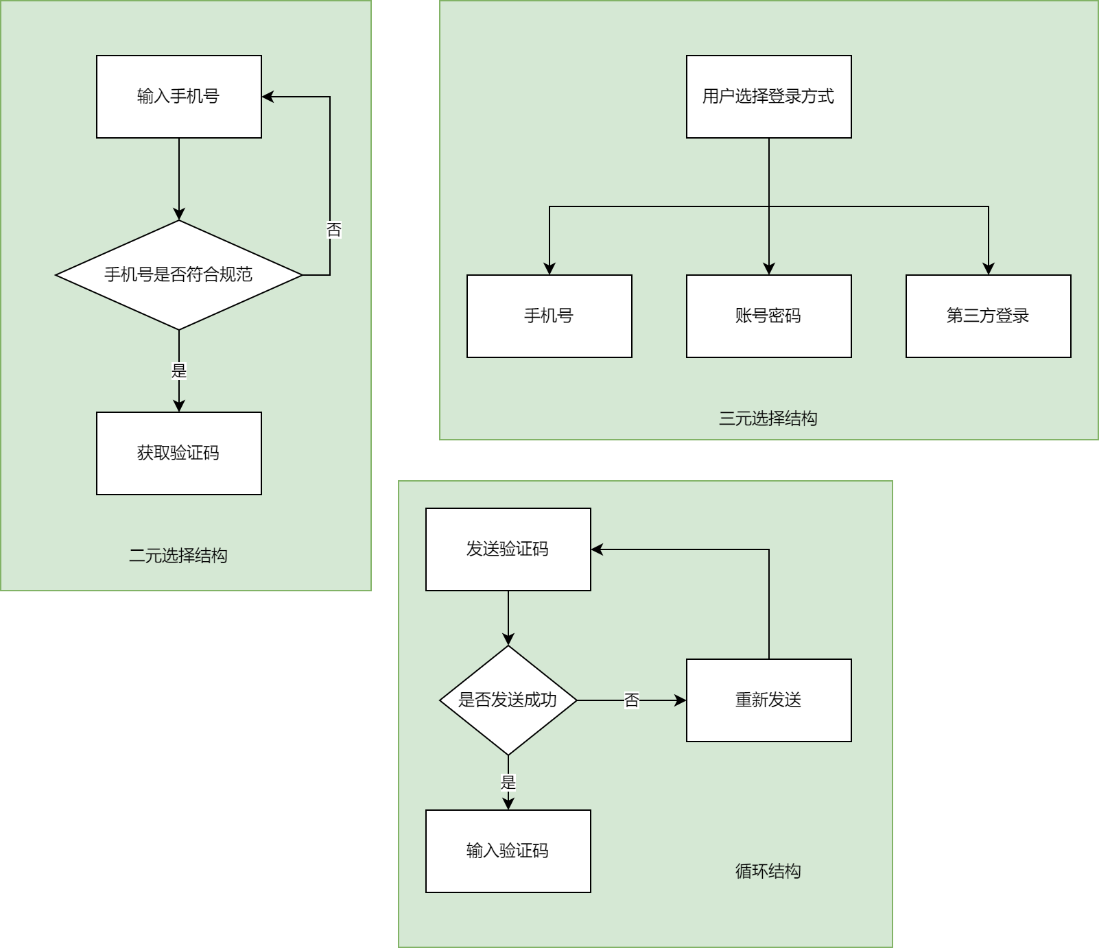
流程图、结构图
流程图的分类
常用流程图分为:业务流程图、功能流程图、页面流程图。
业务流程图--表示具体某个业务的实际处理步骤和过程。业务流程图是脱离了产品和功能的,用于描述业务形式和走向。
举例:把大象装冰箱流程图
功能流程图--用于在需求分档中帮助开发人员理解某个功能的流程设计
举例:内容发布流程图
页面流程图--用于表示页面之间的跳转关系,页面流程图承载了业务流程图所包含的业务流转信息。
流程图说明
| 样式 | 元素名称 | 介绍 |
|---|---|---|
| 圆角矩形 | 开始或结束 | |
| 直角矩形 | 节点 | 任何一步操作都是一个节点 |
| 菱形 | 判断 | 遇到不同处理结果的情况 |
| 双矩形,如下图 | 子流程 | 将一部分有逻辑关系的节点集合为一个子流程,方便主流程随时调用 |
| 箭头 | 连接线 |

流程图常见结构包括:二元选择、三元选择、循环结构。各种结构样例如下图:

结构图
下图为抖音部分产品结构图

原型
原型工具:墨刀,AxureRP,Sketch
原型分类:草图原型(手画),低保真原型(工作中常用),高保真原型。
低保真原型,简单交互,无设计图,产品经理做产品规划或评审阶段使用。
高保真原型,交互复杂,有设计图,需要图片设计能力,做公开演讲时常用。
七大定律
菲茨定律、席克定律、奥卡姆剃刀原理、泰思勒定律、神奇数字7±2法则、接近法则、放错原则
菲茨定律
T=a+b⋅log2(1+WD)
菲茨定律用来表述游标移动到目标之间的距离、目标的大小,以及所花费时间之间的关系。其中:T代表完成移动所需要的时间;a代表光标开始到停止的时间;b代表光标移动的速度;D代表从起点到目标中心点的距离;W代表目标的宽度。
意味着:
对于大而近的目标区域,用户不需要做太精细的调整就可以轻易的到达目标。因此,
- 按钮尽量设计大一点,
- 相似的功能尽量相互靠近,
- 屏幕的边和角很适合放置菜单按钮这种元素
- 减少相对距离,两个操作可以通过缩短可交互元素之间的距离来提高使用效率
- 手机端参考用户使用习惯
席克定律--选择困难症
一个人面临的选择越多,所需要做出决定的时间就越长。因此,在人机交互中界面的选项越多,意味着用户做出决定的时间越长。
RT=a+b⋅log2n
其中,RT表示反应所需的时间;a表示与做决定无关的时间(阅读、操作的时间);b表示根据对选项的认知的额处理时间;n表示具有可能性的相似答案总数。
所以在产品设计过程中需要:
- 限制选择数量,来减少决策反应时间
- 可以对选选项进行分类和层次分类,提高使用效果
- 分步解决,提升用户操作体验
- 隐藏、删减很少使用的选项,降低错误点击率
- 图片比文字更容易理解
奥卡姆剃刀原理
如果有两个功能相等的设计,则选择最简单的(少就是多less is more)。
产品设计思路:
- 减少多余的弹框,减少弹框频率
- 突出重点功能(见百度首页)
- 降低学习成本(小白原则)
泰思勒定律(复杂守恒)
每一个程序都有固定的复杂性,存在一个临界值,超过了临界点就不能再简化了,只能在将固有复杂性从一个地方移动到另一个地方。功能的复杂性总是存在的,要么在用户端解决,要么在系统端解决。
7±2法则
用户的记忆上限是9个,超过9个不容易记住。
结合席克定律,用户的可选项最好不超过5个
接近法则
当对象距离太近,意识会觉得他们是相关的
防错原则
通过设计将过失降到最低,及时通知用户具体哪里操作错误。
如:表单填写时,系统及时提示错误信息;重要操作时,系统通常会二次确认;提供撤销的机会,为用户提供纠错空间
程序界面元素
导航类型
扁平式、分层式、舵式、抽屉式、沉浸式
栏
状态栏、导航栏、标签栏、分段栏
内容试图
列表视图、卡片视图、集合视图、图片视图、文本视图
控制元素
按钮、输入框、分隔符、线条、弹框、土司(toast)
临时视图
模态视图、警告视图、操作列表、土司(toast)
小程序相关
小程序是一种不需要下载安装即可使用的应用程序。主要优势是
- 开发成本低,开发速度快
- 使用体验流畅
- 微信、支付宝庞大的流量可供使用
- 用完即走,不占用手机内存,而且有使用记录可以方便找回应用
小程序接入流程
- 注册。在微信公众平台注册小程序,完成注册后可以同步进行信息完善和开发
- 小程序信息完善。填写小程序基本信息,包括名称、头像、介绍及服务范围
- 开发小程序。完成小程序开发者绑定、开发信息配置后开发者可以下载开发者工具,参考开发文档进行小程序的开发和调试
- 提交审核和发布。完成小程序开发后,提交代码至微信团队审核,审核通过后即可发布(公测期间不能发布)
小程序设计规范
小程序可接入的微信服务
- 扫二维码
- 消息客服
- 模板消息
MVP
MVP(MinimumViableProduct)表示最小可行化产品[3]
开发产品是先做一个简单的原型,然后通过测试并收集用户的反馈,快速迭代,不断修正产品,最终适应市场需求
产品案例
2011年1月21日微信1.0版本上线只实现了,用户之间文字聊天、通讯录管理两大功能。之后陆续更新漂流瓶、摇一摇、扫一扫、微信钱包、朋友圈、公众号、小程序、视频号等功能
低保真原型绘制规范
尺寸规范
| 平台 | 尺寸 | 状态栏(系统默认) | 导航栏 | 标签栏 |
|---|---|---|---|---|
| iPhone6 | 376×667 | 20 | 44 | 49 |
字体规范
一般情况下,导航栏的标题字号大于内容标题字号,内容标题字号大于内容字号。一般选择阿里巴巴普惠体、微软雅黑、PingFang、Arial等常用字体
配色规范
原型中包含多种元素,低保真原型中没有颜色规范,除了元素自带的颜色外,一般选择黑白灰三种配色,避免妨碍UI设计师的设计
原件规范
一般情况下,原件与原件之间需要对其
页面及命名规范
有页面尽量分层展示,注意上下游分层关系做好分类。
命名尽量使用市面上常用的命名,如“个人中心”,页面名称一般采用页面的标题名。
注意事项
- 绘制低保真原型时,只需要注意功能的完整性、布局的合理性,美观度交给UI设计师
- 确定导航架构,进而合理设计产品结构图
- 确认核心用户的使用流程
- 确认页面的默认状态(用户进入后没有进行任何操作的状态)
功能注意事项
- 功能是否必须;
- 第一期该如何取舍;(结合工期、资源)
- 技术实现成本是否可接受
- 针对当前版本的优先级考虑,设计合理的功能
- 功能图标的放置位置
- 图片能否查看大图,大图的展现形式
- ……
内容注意事项
- 内容谁来更新,是否牵扯到运营端的职责,是的话如何配合(注意跨部门配合问题)
- 如何让用户最快看到想要的,去掉不想要的内容,页面层级不要太深
- 上线第一版如何让用户不该到内容过少
- 内容该如何分类,分类是否有可持续扩展性
- 内容的排序逻辑
- 列表页为空时的显示效果
- 列表页图片在文字左边还是右边
- ……
细节注意事项
- 第一版冷启动,各种功能的引导和文案
- 每个地方的引导文案,如何让用户无感觉自动被引导到其他页面
- 载入过慢、断网、wifi切换到4G时载入过程的提示
- 图标、按钮、连接不可用时的显示状态
- 文本超过标准被截断时如何显示
- 确认按钮在左边还是右边
- 下拉框,列表框的默认定位
- 时间展示方式,小数点保留位数
- 选中与未选中的状态样式
- ……
程序页面
引导页
第一次安装app或者更新app后第一次打开时所展示的可以滑动的页面。主要用于介绍产品的定位核心功能或亮点功能。产品经理只需要输出引导页的文案,UI设计师负责设计页面效果
启动页、闪屏页
启动页,为app被用户打开后,在启动过程中用户所看到的过度页面,一般展示产品图标和slogen。因为app打开的过程中需要一点过的缓冲时间,启动页用来给用户一个过度,缓解打开app时的焦虑心情。
闪屏页,一般紧跟在启动页之后,如qq音乐启动后的广告页。可以是品牌宣传、商业广告等
注册、登录页
当前主流注册方式包括:
- 手机号+验证码。便于用户在手机端注册;企业可以收集用户手机号,便于后期广告、活动的通知
- 手机号+验证码+密码。方便用户下次使用手机号+密码登录
- 邮箱+密码。由于早期的注册多用ID账号,本身容易遗忘,也不具备推广的属性,所以衍生出邮箱注册。但在手机端邮箱验证也不易实现,现在也不常见了。
- 无需注册。使用手机号+验证码直接登录;或通过第三方联合登录,如QQ,微信等;一号多用,一个账号可以注册多个app,如阿里系、腾讯系
注册时需要用户同意注册协议
主流登录方式包括:
- 账号密码登录
- 手机号快捷登录
- 第三方登录
手机号+密码登录的优缺点
优点:
- 用户保有量大、方便记忆
- 获取验证更方便
- 安全性高
- 便于推送运营消息
- 便于获取用户社交链
- 用户找回密码操作方便
缺点:
- 手机号复用问题,用户更换手机号后,运营商会把这个号卖给别人
- 手机号会涉及到用户的隐私安全问题,导致一些用户对其有所保留
- 忘记密码时容易让用户放弃
手机号+验证码登录优缺点
优点:
- 方便快捷,用户不用记忆密码
- 实现了注册即登录
缺点:
- 安全性低,一旦手机丢失信息也丢失
- 发短信成本高,一般几分钱一条
- 数据泄密问题,通过发短信频率能发现用户活跃度
第三方登录优缺点
优点:
- 门槛低,无需二次注册
- 避免了涉及到用户隐私的不信任
- 一定程度上能提高活跃用户
- 便于传播
缺点:
- 通过第三方平台只能获取到有限的用户信息
- 若注册成功后需要用户绑定手机号,影响用户体验
交互说明
交互说明是交互设计师或产品经理输出的最核心“产品”,交互说明的对象是UI设计师、开发工程师和测试工程师。
基本交互形式包括:页面交互、元素控件交互。
交互说明规范
交互说明主要包含页面流程(页面之间)、内容布局(页面内部)、交互操作及反馈(空间逻辑)三个维度。
页面流程可以表达产品的整体结构,帮助同事了解界面之间的关系,一般来说页面之间的流程通过原型的结构来体现
内容布局用来说明以下内容:
- 页面是什么结构、有哪些模块、基本的布局;
- 显示什么样的数据(文字、图片、视频、音频),显示样式和格式是什么样,数据从哪里来;
- 说明不同状态下的显示规则(如:已登录、加载中、角色、无内容等)
交互逻辑用来说明,页面中的控件操作效果,会跳转到哪里;注意交互的数据逻辑,包括限制条件和异常反馈等。
交互说明撰写思路
从看到什么到做到什么到反馈内容的思路,可以写在相应页面的原型旁边
- 先写页面说明,即页面有哪些功能,如导航栏、列表等
- 写每个模块能看到哪些数据,如图文、视频
- 说明数据是从哪来的,如用户发布、系统生成等
- 写数据的显示格式,如长度、行数、数量、有无等
- 说明有哪些操作,如点击、输入、滑动等
- 操作的反馈,如跳转新页面、弹框提示、土司提示
- 操作的限制条件,如不同角色、不同等级、是否登录、网络状态等
- 异常操作的反馈,如输入错误等
交互说明案例

注意: 涉及到颜色、大小尺寸、字体、样式、位置、形状等决定产品外观的描述不要写,这部分内容交给UI设计师
需求文档主要结构
- 全局说明
- 角色、功能权限
- 加载方式
- 常用字段说明
- 网络异常说明
- 全局交互说明(如左右滑动规则)
- 产品架构
- 产品结构图
- 信息结构图(很少有)
- 业务流程图
- 页面流程图(可选)
- 产品版本说明
- 更新日志
- 修改记录
- 需求列表
- 开发排期(可选)
- 非功能需求
- 埋点需求
- 性能需求(如并发)
- 兼容性需求(如浏览器兼容、系统版本兼容、产品版本兼容)
- 产品简介(可选)
- 产品简介
- PRD版本说明
- 交互自查表
网页设计规范
版心
页面中间主要展示区域(PC端浏览器两边有留白)
导航栏
PC端导航栏主要包括左右结构导航栏,上下结构导航栏。导航栏的设计遵循简单、清晰、一直的原则,以做到通过用户最少的点击,到达想去的页面。
导航特性对比:
PC导航:面包屑、非线性
APP导航:线性
超链接
处理超链接需要注意:
- 点击过的超链接需要改变字体颜色
- 如果带检索功能,要对关键字做变色处理
视觉顺序
用户视觉顺序大部分为从左到右,从上到下。设计网站时需要注意:将网页标题、登录按钮、导航栏等重要内容放到容易看到的地方来减少寻找时间。
控件设计
- 能点的按钮要给出操作提示(包括hover效果、点击效果)
- 不能点的按钮不要做成按钮的样式,更不要加效果
- 页面中相同级别的按钮保持样式统一
原型文件字体建议
网站中文建议使用微软雅黑字体,英文建议Arial,IOS系统用苹方字体,安卓使用思源黑体。注意上线时微软雅黑涉及版权问题。
字号通用规则:
- 12px是网页涉及的最小字号,适用于突出性的日期、版权等注释性内容
- 14px适用于非突出性的普通正文内容
- 16px或18px适用于突出性的标题内容
- 网站的字体大小没有硬性规定,可根据实际使用场景酌情考虑
字体间距舒适范围,除了特殊需求外,都可以使用默认数值间距:
- 行间距为字号大小的1.5-2倍
- 段间距为字号大小的2-2.5倍
- 当选用14px字号时,行间距为21-28px,段间距为28-35px
透明度通用规则:
- 87%为正文标题
- 54%为二级标题
- 26%为禁用状态和提示文字
- 12%为分割线
跨平台相似性
用户体验的重要标准包括,统一(电脑、平板、手机、……)、友好、易用。
注意事项
- 网页的加载速度,通过懒加载、预加载改善加载速度
- 返回按钮或面包屑导航。新打开的页面尽量设置返回按钮,如果一定要跳转到独立页面,设置为在新窗口打开
- 慎用促销、广告
- 慎用滚动劫持
- 慎用自动播放视频
- 文字配色要求:不要使用过度繁琐的背景颜色,配色方案要协调
- 慎用闪烁文字